Revista Kawsaypacha: Sociedad y Medio Ambiente.
N° 10 julio – diciembre 2022.  E-ISSN: 2709 - 3689

Cómo citar:Urbay Paz, S. (2022). Diagnóstico para elaborar un modelo que permita formalizar los centros de acopio informales de residuos segregados en el distrito de Ate (Lima, Perú)  Revista Kawsaypacha: Sociedad Y Medio Ambiente, (10), A-008. https://doi.org/10.18800/kawsaypacha.202202.008

Diagnóstico para elaborar un modelo que permita
formalizar los centros de acopio informales
de residuos segregados en el distrito de Ate
(Lima, Perú)
[1]

Sergio César Urbay Paz
Universidad Ricardo Palma
ORCID: 0000-0001-7461-971X

Resumen: Esta investigación, realizada en el año 2020, tuvo como objetivo realizar un diagnóstico para elaborar un modelo de formalización en la aplicación de métodos de segregación de residuos en los centros de acopio informales ubicados entre los kilómetros 16 y 17.5 del distrito de Ate, Región Lima. El trabajo realizado fue de tipo investigación-acción, en el cual se utilizó un enfoque mixto (cualitativo-cuantitativo), mediante la aplicación de encuestas y entrevistas a trabajadores de los centros de acopio informales, recicladores, pobladores de la zona y un profesional experto en la gestión de residuos sólidos de la Municipalidad de Ate. Como resultado, se propone un modelo de formalización que cuente con métodos que ayuden a realizar una adecuada segregación de residuos en los centros de acopio informales, incorporando en cada uno de ellos un sistema de gestión integral.

Palabras clave: Acopio informal. Formalización. Residuos sólidos. Segregación. Reciclaje. Lima Metropolitana. Ate. Perú.

Diagnosis to develop a model that allows the formalization of informal collection centers for segregated waste, in the district of Ate (Lima, Peru)

Abstract: The general objective of this research, done in 2020, was to analyze the effect of the formalization model on the application of waste segregation methods in informal collection centers, located between kilometers 16 and 17.5 of the Ate district, (Lima, Perú). The methodological design for developing the thesis project was of the "action-research" type in which a mixed qualitative-quantitative approach was used, through surveys and interviews to workers of informal collection centers, recyclers, area residents and Ate municipality professional experts in solid waste management. Through the results, we propose a formalization model with methods that help to carry out adequate waste segregation in informal collection centers, incorporating a comprehensive management system in each of them.

Keywords: Informal collection. Formalization. Solid waste. Segregation. Recycling. Metropolitan Lima, Ate. Peru.

Agradecimientos: A la Universidad Ricardo Palma, en especial al grupo de docentes de la Maestría de Ecología y Gestión Ambiental. A la Licenciada Elvia Susana Escobar Cabrera y a la Magister Pamela Victoria Humareda Domínguez.

Sergio César Urbay Paz

Ingeniero Ambiental especializado en temas ambientales-mineros. Titulado en la Universidad Nacional Federico Villarreal. Magister en la especialidad de Ecología y Gestión Ambiental por la Universidad Ricardo Palma. Egresado de la maestría de Economía de los Recursos Naturales y el Ambiente de la Universidad Nacional Agraria la Molina. Se ha desempeñado como profesor en la Universidad Peruana Unión y como Coordinador docente en el Centro Tecnológico Minero (CETEMÍN). Brindó asesoría técnica en materia ambiental para la Secretaría General del Organismo de Evaluación y Fiscalización Ambiental (OEFA).

Correo: sergiourbay1@hotmail.com

1.   Introducción

Los residuos sólidos urbanos son un pasivo originado por el consumismo. Lo cierto es que muchas ciudades cuentan con sectores destinados a la recolección y disposición final de residuos, pero debido a la gran cantidad de estos, no se logra realizar un trabajo adecuado para su recolección y eliminación: «Un manejo de residuos sólidos adecuado se hace necesario en los sitios urbanos, en los cuales ha aumentado la cantidad de habitantes. Este fenómeno es más evidente en las ciudades de América Latina que en las europeas» (Muñoz, 2015, p. 445). Existe la necesidad de crear cultura ambiental en todas las personas, solo así la buena segregación y el adecuado reciclaje podrán desarrollarse de una manera correcta en la sociedad.

Por considerarse un problema ambiental, muchos países destinan grandes cantidades de su presupuesto al control y eliminación de estos, pero aun así no se puede controlar ni eliminar: «La mala disposición de los residuos, genera enfermedades y gases efecto invernadero que contribuyen al calentamiento global» (Muñoz, 2015, p. 445). La inadecuada segregación de los residuos está originando altos incrementos de contaminación, los cuales tienen un efecto colateral en los seres vivos.

Debido al incremento de los residuos y al deficiente sistema de recolección y/o eliminación, aparecen grupos de personas que ven en la recolección de residuos un medio de subsistencia ya que por medio de esta acción logran generar ingresos económicos. A esta actividad se le conoce o denomina reciclaje. Adán (1999), citado en Reyes, Pellegrini y Reyes (2015), menciona que «sin embargo, el reciclaje no es la principal solución al problema de la basura, sino una actividad económica que se debe abordar como un elemento dentro de un conjunto de soluciones» (p. 160). El fomentar la creación de empresas sustentables y ecoeficientes ayudaría a reducir la generación de residuos, el cual es un problema social que nos afecta a todos.

En nuestro país, a medida que la actividad del recojo de residuos y reciclaje fue en aumento, empezaron a aparecer lugares de acopio donde se puede comercializar toda clase de residuos orgánicos e inorgánicos de forma continua. A estos lugares los llamaremos centros de acopio de residuos sólidos domiciliarios, los cuales se dividen en centros de acopio formales e informales. Dentro de la gestión de residuos sólidos, el reciclaje es considerado una etapa importante y decisiva, esta puede clasificarse como reciclaje formal e informal, sabiendo que «el reciclaje informal abarca a los trabajadores independientes que recolectan materiales de la basura» (Moreno, 2019, p. 2). En la actualidad se puede apreciar con más notoriedad la informalidad en estos centros de acopio a nivel nacional, los cuales se incrementan día a día.

Durante los últimos años, el Perú empezó a dar un giro en relación a las empresas o centros de acopio de residuos sólidos domiciliarios; las entidades públicas y empresas privadas vienen desarrollando programas que ayuden a las personas a tener un mejor conocimiento de dicha actividad, así como a capacitarlas tecnológicamente para lograr obtener el mejor beneficio de la misma. Del mismo modo, el Ministerio del Ambiente, en coordinación con las municipalidades en todo el país, busca ayudar y dar facilidades a estos centros informales con la finalidad de que puedan formalizarse y logren crecer como empresa, beneficiando a las personas que trabajen en dicha actividad.

Los siguientes dos estudios muestran los beneficios obtenidos en pequeñas y medianas empresas al formalizarse, a través de su producción o de manera económica, respectivamente.

En la investigación de Zamora y Meza (2017) se tuvo como objetivo principal estudiar la percepción que se obtiene al existir formalidad en la cadena de reciclaje de vidrio, otorgando datos importantes y un amplio panorama de cómo ven los proveedores al sistema de reciclaje de vidrio, su apreciación del entorno en relación de la cadena del vidrio reciclado, qué piensan de este sistema productivo. Con esta información se propusieron alternativas de mejora, con el fin de aumentar la productividad, el cual sirvió para incrementar los beneficios que se obtenían del proceso.

Cruz (2018) tuvo como objetivo mejorar la provisión de servicios públicos locales prestados por los gobiernos locales evaluando la actividad del reciclaje en Lima Norte. Para esto se aplicaron las siguientes técnicas: 1) encuestas, método de muestreo probabilístico y 2) entrevistas de tipo abiertas y simples. Sobre la metodología, lo primero que se tuvo que hacer fue tener contacto con todas las personas involucradas, como funcionarios del municipio dedicadosa la supervisión de esta actividad, determinar los lugares de trabajo, contar con una relación del personal que se dedica a este trabajo. Esta recolección de información fue desarrollada entre enero de 2015 y diciembre de 2016.

El Estado peruano, mediante normativas y a través de sus instituciones, trabaja para identificar los problemas y proporciona reglas que ayuden a reducir la informalidad que existe en las personas dedicadas a la recolección de residuos sólidos y los lugares donde se almacenan temporalmente estos residuos (centros de acopio informal).

Según la Gerencia de Planificación Estratégica (2021), mediante el Censo Nacional 2017 y utilizando las proyecciones del Repositorio Único Nacional de Información en Salud (REUNIS), con una tasa de crecimiento de 5.7% con respecto al último censo, se estima que para el año 2021 habría una población de 683 151 habitantes en el distrito de Ate, y en la zona 7 (ver Figura 2), la población correspondiente a Huaycán, sería de unas 125 234 personas (p. 5). Según el INEI (2019), la generación de residuos sólidos en este distrito es de 569.3 toneladas por día y la generación de residuos por habitante es de 0.9 kilogramos/día (p. 443). Sobre los centros de acopio informales ubicados dentro de la zona de Huaycán (Figura 2), lugares donde se depositan temporalmente residuos generados diariamente en el distrito de Ate, pero también de Chaclacayo y Lurigancho-Chosica (por su cercanía a la zona), lamentablemente no existen registros en las municipalidades de cantidades de residuos que estos establecimientos reciben, precisamente por su condición de informal.

Respecto a la informalidad en la recolección de residuos domiciliarios, la Municipalidad del Distrito de Ate, en su artículo 12, ordenanza 312, «establece como lineamientos de política promover el uso de tecnologías limpias, que favorezcan la minimización o reaprovechamiento de los residuos sólidos, así como fomentar la formalización de las personas o entidades que intervienen en el manejo de residuos sólidos» (2013, p.2). Aunque actualmente existen estas disposiciones en muchas municipalidades del país, las cuales orientan a la formalización de estos centros de acopio informal, los residentes de estos lugares son reacios al cambio, prefiriendo trabajar informalmente.

El presente estudio realiza un diagnóstico que permitirá diseñar un modelo que ayude a la formalización de los centros de acopio informales que trabajan con residuos sólidos que se encuentran ubicados en la Carretera Central a la altura de la entrada de Huaycán en el distrito de Ate. Estos centros de acopio vienen operando desde hace más de veinte años de manera informal, y debido a una inadecuada segregación y almacenamiento de estos residuos, generan contaminación y desorden en el lugar, perjudicando el medio ambiente y a los pobladores que habitan en la zona.

1.1      Delimitación espacial

Este estudio se realizó en el distrito de Ate, ubicado en el Cono Este de la provincia de Lima, entre los kilómetros 16 y 17.5 de la Carretera Central. En la Figura 1 se puede apreciar la ubicación del distrito y sus límites, que serían: Por el Norte: Lurigancho-Chosica, San Juan de Lurigancho, Santa Anita, El Agustino. Por el Sur: La Molina, Cieneguilla, Santiago de Surco. Por el Este: Chaclacayo. Por el Oeste: San Luis, San Borja. Mientras que en la Figura 2 se observa la división de Ate en siete zonas.

Diagrama

Descripción generada automáticamente

Diagrama

Descripción generada automáticamente

A continuación, en la Figura 3, se puede apreciar las zonas donde se encuentran focalizados la mayor cantidad de centros de acopio cercanos a la entrada de Huaycán, entre los kilómetros 16 y 17.5, respectivamente.

Mapa

Descripción generada automáticamente

2.   Metodología

El trabajo de investigación se realizó durante el segundo periodo del año 2020, para ello se utilizaron instrumentos como encuestas, cuestionarios y guías de observación, con la finalidad de recaudar la mayor cantidad de información sobre el funcionamiento de los centros de acopio informales. Para esto se realizaron 160 encuestas. De estas, 100 fueron mediante el aplicativo Google drive, que se distribuyó mediante el uso del WhatsApp, y 60 se realizaron de manera presencial. Del mismo modo, se tomaron 100 entrevistas estructuradas, de las cuales 70 fueron también realizadas mediante Google drive a través del WhatsApp, y 30 fueron de manera presencial. Se realizó también una entrevista no estructurada a un especialista encargado del tema de manejo de residuos sólidos de la Municipalidad Distrital de Ate. Se finalizó el trabajo de campo con la inspección de 6 centros de acopio del lugar utilizando para esto la guía de observación.

Los resultados obtenidos mediante las encuestas, entrevistas y entrevistas no estructuras fueron procesados con los programas SPSS y ATLAS TI. Del mismo modo, se analizaron las guías de observación que se emplearon en la zona de estudio. Se logró obtener de estas herramientas los valores estadísticos y la red de códigos y citas que ayudaron con el análisis, las conclusiones y recomendaciones; cumpliendo, asimismo, con el objetivo de verificación de las hipótesis planteadas en la tesis, buscando con esto mejorar la calidad de vida y el cuidado del medio ambiente de la zona del estudio.

Diagrama

Descripción generada automáticamente

En este estudio se utiliza la metodología mixta, la cual se origina al integrar en un solo estudio los métodos cualitativos y cuantitativos, obteniendo así un enfoque o método mixto. Mediante este método podemos recolectar, combinar y analizar datos en un solo estudio obteniendo resultados más precisos (ver Núñez, 2017, p. 635). Este enfoque, por tener mayor radio de acción al utilizar estudios tanto cuantitativos como cualitativos, proporciona un mejor análisis y conlleva a obtener mejores resultados en el estudio (Pereira, 2011, p. 17). La tendencia a realizar investigación que involucre la metodología mixta (cuantitativo-cualitativo) aumenta contantemente y se puede apreciar actualmente en muchos estudios de investigación en diferentes lugares del mundo.

El método tipo cuantitativo es utilizado con la finalidad de poder cuantificar y medir los valores obtenidos mediante las encuestas a realizar durante nuestra investigación. Según World (2003), citado en Cadena et al. (2017), «se pueden usar para mejorar la calidad de las evaluaciones cuantitativas basadas en las encuestas, ya que ayudan a generar hipótesis de evaluación, refuerza el diseño de cuestionarios para las encuestas y amplían las conclusiones de la evaluación cuantitativa» (p. 1606). Mediante el análisis realizado a los valores obtenidos, podremos establecer conclusiones más precisas que ayuden a la explicación de nuestras hipótesis de investigación (Sandoval, 2002, p. 41).

Esta clase de investigación, por contar con diferentes fases o etapas, tiene ciertas ventajas, ya que al realizar el estudio se pueden analizar los fenómenos que estén ocurriendo en periodos diferentes del mismo.

El método a utilizar en la investigación es la observación no participativa. Mediante la observación se pretende descubrir, comprender, describir y explicar patrones (Campos & Lule, 2012, p. 49). Siendo la observación el método utilizado durante muchos años por los investigadores para poder describir y a la vez comprender los fenómenos que suceden a nuestro alrededor y del mismo modo al ser humano.

El diseño es de investigación-acción. Este diseño aportará información que nos servirá en la toma de decisiones para programas y reformas estructurales, pretendiendo con esto que los participantes generen un profundo cambio social por medio de la investigación, y, del mismo modo, generar conciencia entre los individuos. La investigación acción es considerada en la actualidad social del conocimiento, como una metodología que forja una elevada capacidad para dar respuestas a los diferentes problemas que se presentan en la cotidianidad, en tanto que la misma tiene su accionar en el contexto de la comunidad y no solo involucra al investigador, sino también a todos los integrantes de estas, los cuales a partir de la detección de la situación problemática, aportarán sus ideas y posibles soluciones desde la elaboración de proyectos o planes de acción (Sequera, 2014, p. 224). Se busca con esto lograr la participación de grupos de personas o sociedades con el objetivo de mejorar la racionalidad y equidad en las prácticas sociales o educativas, en beneficio de las personas.

Para este estudio se planteó una hipótesis general y tres específicas:

Hipótesis general: El modelo de formalización, por no utilizar sistemas de información adecuados, tiene efecto negativo en la segregación de residuos sólidos en los centros de acopio informales de la carretera central del distrito de Ate, departamento de Lima.

Hipótesis específicas:

Para la elección de la muestra en un estudio científico se tiene en cuenta las características de la población a estudiar, ya que de esta depende el resultado del estudio. Teniendo en consideración ello, para el presente estudio estamos considerando como universo a la población que labora en los centros de acopio informales: 60 personas en total.

Para definir el tamaño de la muestra, ya que en nuestro análisis la población es

«Definida», se considerará como fórmula principal:

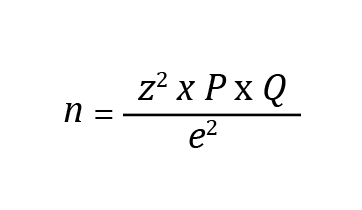
Donde: n = Tamaño de la muestra. P: la proporción (o porcentaje) de individuos que tienen una característica. z2= número de unidades de desviación que indica el nivel de confianza adoptado, elevado al cuadrado. Q: la proporción (o porcentaje) de individuos que no tienen la característica. e2: el error muestral considerado, elevado al cuadrado.

Obteniendo un valor de n = 6.045696 consideramos para el proyecto a n= 6

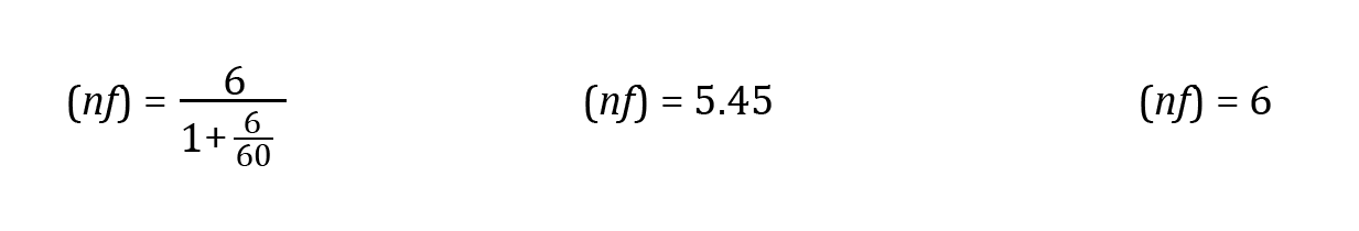
Se aplica el factor de corrección con la siguiente formula:

Donde: n = Tamaño de la muestra. N = Población o universo. nf =Muestra final.

En nuestro caso; n = 6 / N = 60

Por tanto, para nuestro estudio, teniendo una población de 60 personas, se ha establecido una muestra de 6 para cada uno de los centros de acopio informales.

El recojo de información se hizo a través de la elaboración de encuestas, entrevistas y la observación. Se realizaron 160 encuestas, de las cuales 100 fueron de forma virtual y 60 de manera presencial. Se entrevistó a 100 personas, de las cuales 70 fueron en forma virtual, y las otras 30, que se hicieron de manera presencial, estuvieron dirigidas a las personas que laboran en los centros de acopio informales, a los recicladores y a las personas que viven en la zona de estudio[2].

Se entrevistó a un especialista que trabaja en la Sub-Gerencia de Gestión y Manejo de Residuos Sólidos de la Municipalidad Distrital de Ate. Se inspeccionaron 6 centros de acopio informales utilizando la guía de observación, con la finalidad de recaudar información sobre el estado en el que se encuentran estos lugares.

Sobre las encuestas, el cuestionario que se utilizó fue tipo escala de Likert. Este instrumento de medición se puede utilizar también para la recolección de datos cuantitativos, la cual se puede utilizar dentro de la investigación. Las opciones de respuestas utilizadas fueron:

Tabla

Descripción generada automáticamente

3.   Resultados y análisis

La encuesta contiene 20 preguntas: 10 preguntas para la variable independiente (incluye en las 10 preguntas sus respectivos indicadores) y 10 preguntas para la variable dependiente (con sus indicadores respectivos).

3.1      Resultados de la encuesta (SPSS Statistics 25)

La formulación estadística de la hipótesis general es:

Tabla

Descripción generada automáticamente

Tabla

Descripción generada automáticamente

Contrastación de la hipótesis general H0: Debido a que el valor de significación (valor crítico observado) es 0.000 < 0.05, rechazamos la hipótesis nula (H0) y aceptamos la hipótesis alternativa (H1). Es decir que el modelo de formalización, por no utilizar sistemas de información adecuados, tiene efecto negativo en la segregación de residuos sólidos en los centros de acopio informales.

Tabla

Descripción generada automáticamente

Tabla

Descripción generada automáticamente

Contrastación de la hipótesis específica HE1: Debido a que el valor de significación (valor crítico observado) es 0.000 < 0.05, rechazamos la hipótesis nula (H0) y aceptamos la hipótesis alternativa (H1). Es decir que el modelo de gestión, por no utilizar estrategias adecuadas, tiene efecto negativo en la aplicación de los métodos de clasificación, almacenamiento y beneficio económico de residuos sólidos municipales en los centros de acopio informales.


Tabla

Descripción generada automáticamente

Tabla

Descripción generada automáticamente

Contrastación de la hipótesis específica HE2: Debido a que el valor de significación (valor crítico observado) es 0.000 < 0.05, rechazamos la hipótesis nula (H0) y aceptamos la hipótesis alternativa (H1). Es decir que el modelo de normas, por no ser muy específico y claro, tiene efecto negativo en los métodos de clasificación, almacenamiento y beneficio económico de residuos sólidos municipales en los centros de acopio informales.


Tabla

Descripción generada automáticamente

Tabla

Descripción generada automáticamente

Contrastación de la hipótesis específica HE3: Debido a que el valor de significación (valor crítico observado) es 0.001 < 0.05, rechazamos la hipótesis nula (H0) y aceptamos la hipótesis alternativa (H1). Es decir que el modelo de estímulos, por no ser motivador, tiene efecto negativo en la aplicación de los métodos de clasificación, almacenamiento y beneficio económico de residuos sólidos municipales en los centros de acopio informales.

3.2      Resultados de la entrevista estructurada (SPSS Statistics 25)

Tabla

Descripción generada automáticamente

Tabla

Descripción generada automáticamente

Contrastación de la hipótesis general H0: Debido a que el valor de significación (valor crítico observado) es 0.000 < 0.05, rechazamos la hipótesis nula (H0) y aceptamos la hipótesis alternativa (H1). Es decir que el modelo de formalización, por no utilizar sistemas de información adecuados, tiene efecto negativo en la segregación de residuos sólidos en los centros de acopio informales.


Tabla

Descripción generada automáticamente

Tabla

Descripción generada automáticamente

Contrastación de la hipótesis específica HE1: Debido a que el valor de significación (valor crítico observado) es 0.000 < 0.05, rechazamos la hipótesis nula (H0) y aceptamos la hipótesis alternativa (H1). Es decir que el modelo de gestión, por no utilizar estrategias adecuadas, tiene efecto negativo en la aplicación de los métodos de clasificación, almacenamiento y beneficio económico de residuos sólidos municipales en los centros de acopio informales.


Tabla

Descripción generada automáticamente

Tabla

Descripción generada automáticamente

Contrastación de la hipótesis específica HE2: Debido a que el valor de significación (valor crítico observado) es 0.000 < 0.05, rechazamos la hipótesis nula (H0) y aceptamos la hipótesis alternativa (H1). Es decir que el modelo de normas, por no ser muy específico y claro, tiene efecto negativo en los métodos de clasificación, almacenamiento y beneficio económico de residuos sólidos municipales en los centros de acopio informales.

Tabla

Descripción generada automáticamente

Tabla

Descripción generada automáticamente

Contrastación de la hipótesis específica HE3: Debido a que el valor de significación (valor crítico observado) es 0.001 < 0.05, rechazamos la hipótesis nula (H0) y aceptamos la hipótesis alternativa (H1). Es decir que el modelo de estímulos, por no ser motivador, tiene efecto negativo en la aplicación de los métodos de clasificación, almacenamiento y beneficio económico de residuos sólidos municipales en los centros de acopio informales.

3.3       Resultados de la entrevista no estructurada (ATLAS.TI)

La entrevista consistió en 5 preguntas de la variable independiente y 5 preguntas para la variable dependiente. Estas preguntas fueron formuladas al ingeniero especialista de la Municipalidad de Ate[3], la cual fue grabada en audio y de la que se obtuvieron las siguientes respuestas.

Interfaz de usuario gráfica, Texto, Aplicación, Correo electrónico

Descripción generada automáticamente

Análisis: La importancia de cumplir con las normativas exige que estos lugares, tarde o temprano, busquen mecanismos que les ayuden a poder lograr su formalización, el cual favorece a todos, tanto municipio, trabajadores y propietarios. Esto se puede comprobar en la Figura 5, donde se muestra la variable independiente con sus indicadores, que fueron obtenidos de la entrevista.

Interfaz de usuario gráfica, Texto, Aplicación

Descripción generada automáticamente

Análisis: La importancia de una buena segregación es que se puede percibir mejoras económicas y esto trae como consecuencia una mejor clasificación, la cual a su vez da como resultado un mayor ingreso económico en los centros de acopio informales. Esto se puede comprobar en la Figura 5, donde se muestra la variable dependiente con sus indicadores, que fueron obtenidos de la entrevista.

Diagrama, Dibujo de ingeniería

Descripción generada automáticamente

3.4      Resultados de la guía de observación

Analizando los resultados de la guía de observación —la cual estuvo conformada por tres partes: segregación de residuos, almacenamiento de residuos y despacho de residuos—, empleando la Tabla 19 de referencias y observando la Figura 5, podemos concluir lo siguiente:

Tabla

Descripción generada automáticamente

Los residuos llegan mezclados: El 66.66% observó que sí llegan mezclados los residuos (D), el 33.33% no pudieron observar si están mezclados los residuos (E).

Los residuos están impregnados de grasa: El 83.33% observó que sí contienen grasa (D) y el 16.66% no pudo observar si los residuos contenían grasa (E).

Existen residuos peligrosos mezclados con los no peligrosos: El 83.33% observó que los residuos peligrosos y no peligrosos están mezclados (D) y el 16.66% no pudo diferenciar entre un residuo peligroso y otro no peligroso (E). Existen envases de plástico con líquido dentro: El 66.66% observó que sí existen envases con líquido (D) y el 33.33% no pudo observar envases con líquido (E).

Se clasifican o codifican los residuos antes de almacenarlos: el 50% observó que parte de los residuos no estaban codificados (D) y el otro 50% no observó codificación de residuos en el lugar (E).

Los residuos son compactados antes de almacenarlos: el 50% observó que solo algunos residuos son compactados (D) y el otro 50% observó que no se realizan compactación de residuos en el lugar (E).

Cada clase de residuos tiene un área en el almacén: el 83.33% observó que existen lugares donde juntan residuos (D) y el 16.66% observó que no existe almacén (E).

El almacén está limpio: el 50% observó que falta más limpieza (D) y el 50% observó que no hay limpieza (E).

Los residuos son pesados antes de despacharse: el 50% observó que se realiza el pesado de los residuos (B), el 33.3% observó que falta aún mejorar la forma de pesar (C) y el 16.6% observó que no se pesaban los residuos (E).

Los residuos son despachados en bolsas o cajas: el 83.3% observó que algunos residuos sí son despachados (C), el 16.6% observó que no utilizan bolsas ni cajas (D).

Se cumple con el horario de despacho: el 100% observó que no se cumple (D).

Existe mucha demora al despachar: el 83.3% observó que existe mucha demora (D) y el 16.6% no pudo observar si existe demora al despachar los residuos (E).

Gráfico

Descripción generada automáticamente

Segregación de residuos: un 75% considera que se necesita mejorar la segregación en estos lugares (D) y un 25% observó que no realizan segregación

(E). Almacenamiento de residuos: un 50% considera que se necesita implementar mejor los almacenes (D), y el otro 50% no observó almacenes en los lugares (E).

Despacho de residuos: un 50% considera que se necesita mejorar la forma de despachar los residuos (D), un 29.16% consideró que aún se encuentra en proceso de mejora el despacho (C), solo un 12.5% consideró que la forma de despachar ha mejorado (B) y un 8.3% consideró que no existe despacho en los lugares (E).

Como se puede apreciar en la Figura 6, podemos afirmar que tanto el área de segregación, almacenamiento y despacho el 58% de los encuestados establecen que falta mejorar las áreas y 36% considera que no existe esas actividades en el lugar y un 6% consideran otros factores.

4.   Conclusiones

Prueba de hipótesis general H0: De los resultados obtenidos al realizar la prueba de hipótesis de chi-cuadrado, podemos dar por afirmado que el modelo de formalización, por no utilizar sistemas de información adecuados, influye significativamente (p < 0.05) y tiene efecto negativo en la segregación de residuos sólidos en los centros de acopio informales de la Carretera Central del distrito de Ate, Región Lima. Por tal motivo, debemos de considerar esta hipótesis como verdadera.

Prueba de hipótesis específica HE1 (resultados de la entrevista y encuesta): Mediante los resultados obtenidos a través de la prueba de hipótesis de chi- cuadrado, afirmamos que el modelo de gestión, por no utilizar estrategias adecuadas, influye significativamente (p < 0.05), tiene efecto negativo en los métodos de clasificación, almacenamiento y beneficio económico de residuos sólidos municipales en los centros de acopio informales de la Carretera Central del distrito de Ate, Región Lima. Por tal afirmación, consideraremos a esta prueba de hipótesis como verdadera en nuestro estudio.

Prueba de hipótesis específica HE2 (resultados de la entrevista y encuesta): Según los resultados obtenidos mediante la prueba de hipótesis de chi- cuadrado, concluimos que el modelo de normas, por no ser muy específico y claro, influye significativamente (p < 0.05), tiene efecto negativo en los métodos de clasificación, almacenamiento y beneficio económico de residuos sólidos municipales en los centros de acopio informales de la Carretera Central del distrito de Ate, Región Lima. Por esta razón, consideraremos como válida la hipótesis planteada.

Prueba de hipótesis específica HE3 (resultados de la entrevista y encuesta): De acuerdo a los resultados obtenidos mediante la prueba de hipótesis de chi-cuadrado, podemos afirmar que la aplicación del modelo de estímulos, por no ser motivador, influye significativamente (p < 0.05) y tiene efecto negativo en la aplicación de los métodos de clasificación, almacenamiento y beneficio económico de residuos sólidos municipales en los centros de acopio informales de la Carretera Central del distrito de Ate, Región Lima. De esta manera, consideramos válida la hipótesis analizada.

Buscar mecanismos que ayuden a obtener la formalización; tratar siempre de cumplir con las normativas. Una excelente segregación es el resultado de buena clasificación. El segregar te origina beneficios económicos.

Sobre las áreas de segregación, almacenamiento y despacho que fueron observadas, concluimos que el 70% determinó que falta mejorar las 3 áreas y un 30% consideró que estas áreas no existen en estos lugares.

5.   Recomendaciones

Se debe implementar un sistema de gestión integral en todos los centros de acopio de la zona del área de estudio, por medio de este modelo de gestión se busca obtener mejoras en todas las actividades que se realicen y desarrollen en ellas, las cuales de una u otra manera influyen en el proceso industrial de la actividad de acopio de los residuos sólidos municipales de estos establecimientos.

Se debe establecer normativas que ayuden al desarrollo de la actividad de acopio no solo para las empresas, sino también para los trabajadores que laboran en ellas. Sobre las normas internas de cada establecimiento, es importante establecerlas con la finalidad de poder tener un mejor control en el desarrollo de sus actividades y que estas puedan ayudar a la gestión interna que se implemente en el lugar, buscando con esto un mayor desarrollo en el proceso productivo de las zonas de acopio de residuos sólidos.

La importancia de establecer estímulos que beneficien y ayuden a los centros de acopio informales es fundamental, una de las formas es dándoles facilidades en la realización de los trámites documentarios para obtener la documentación necesaria que les ayude a formalizarse como empresa, este apoyo no solo debe ser en municipalidades sino también en ministerios, según la necesidad o requerimiento que estos necesiten, con el fin de lograr obtener las autorizaciones y licencias correspondientes. Del mismo modo, el estímulo podría ser económico, mediante la reducción de impuestos, beneficios tributarios, licitaciones y contrataciones con el Estado.

Es importante que los centros de acopio informales realicen un modelo de formalización y lo implementen en sus establecimientos, con esto se busca lograr que cada centro de acopio pueda establecerse formalmente, trayendo con esto muchos beneficios, tanto económicos y sociales, para los trabajadores que laboran en ellas. La formalización brinda oportunidad de desarrollo, mejora la actividad económica de estos lugares, otorga mejores beneficios a sus trabajadores, brinda mayor estabilidad como empresa, mejora el entorno con respecto a la seguridad para sus trabajadores y da oportunidad de tener un futuro más estable y duradero.

A continuación, se presenta un modelo de formalización en un mapa conceptual (Figura 7) que muestra el esquema de un centro de acopio informal, indicando la distribución del centro de acopio, la designación del trabajo por cada área, las capacitaciones y funciones que debe tener el personal según su lugar de operación, etcétera. Esta distribución del proceso puede servir como guía que ayude a estos lugares informales a dar inicio a un proceso de formalización, teniendo en cuenta siempre las características de cada uno de ellos y considerando los requerimientos que solicite cada municipio distrital. Además, se puede emplear en distintas etapas en el proceso de formalizar, según la necesidad del lugar. Pero es importante que cada centro de acopio tenga su propio esquema, que desarrolle su modelo de formalización, ya que cada lugar donde se acopian los residuos segregados tiene características y modos de realizar su trabajo diferente.

Diagrama

Descripción generada automáticamente

 

Referencias

Blanco, N., & Alvarado, M. (2005). Escala de actitud hacia el proceso de investigación científico social. Revista de Ciencias Sociales, pp. 537-544.

Cadena, P., Rendón, R., Aguilar, J., Salinas, E., Sangerman, D., & De la Cruz-Morales,

F. (2017). Métodos cuantitativos, métodos cualitativos o su combinación en la investigación: un acercamiento en las ciencias sociales. Revista Mexicana de Ciencias Agrícolas, pp. 1603-1617.

Campos, G., & Lule, N. (2012). La observación, un método para el estudio de la realidad. Xihmai, pp. 45-60.

Cruz, A. H. (2018). Evaluación de la actividad de reciclaje en Lima Norte. Rev. del Instituto de Investigación FIGMMG-UNMSM, pp. 47-54.

Gerencia de Planificación Estratégica (2021). Población del Distrito de Ate. Sub Gerencia de Control Gerencial y Programación de Inversiones. https://www.muniate.gob.pe/areas/SGCGPI/boletin%20de%20 poblacion%20v2%20(3).pdf

Gerencia de Servicios a la Ciudad (2011). El plan de manejo de residuos sólidos del distrito de Ate. Lima. http://www.muniate.gob.pe/ate/files/documentosPlaneamientoOrganizacion/GESTION_RESIDUOS_SOLI
DOS/2011/PLAN_RRS_ATE.pdf

Google Earth (16 de 7 de 2019). Google Earth [Imagen]. Google Earth: https://earth.google.com/web/@-
11.99945083,-76.8383617,502.53295352a,85.77982009
 d,35y,-0.00000001h,39.69405581t,0r

Instituto Nacional de Estadística e Informática (2019). Perú: anuario de estadísticas ambientales. Lima: Dirección Nacional de Cuentas Nacionales. https://www.inei.gob.pe/media/MenuRecursivo/publicaciones_digitales/Est/Lib1704/libro.pdf

Moreno, K. (2019). Una mirada a las prácticas de reciclaje: El caso de una asociación de recicladores en Tacna, Perú. Revista Estudios del Desarrollo Social: Cuba y América Latina, pp. 1-16.

Muñoz, P. (2015). ¿Le apuestan los sistemas de manejo de residuos sólidos en el mundo al Desarrollo Sostenible? Revista Mexicana de Ciencias Agrícolas, pp. 445-450.

Núñez, J. (2017). Los métodos mixtos en la investigación en educación: Hacia un uso reflexivo. Cuadernos de Pesquisa, pp. 632-649.

Ordenanza 312-MDA. (2013). Aprueban Ordenanza que regula la formalización de la actividad de los Recicladores en el Distrito de Ate. Diario El Peruano. https://proyectosti.muniate.gob.pe/areas/GDIS/
SGPC/BASE%20
LEGAL/0RDENANZA%203122013%20%20RECICLADORES.pdf

Pereira, Z. (2011). Los diseños de método mixto en la investigación en educación: Una experiencia concreta. Revista Electrónica Educare, pp. 15-29.

Reyes, A., Pellegrini, N., & Reyes, R. (2015). El reciclaje como alternativa de manejo de los residuos sólidos en el sector minas de Baruta, Estado Miranda, Venezuela. Revista de Investigación, pp. 157-170.

Sandoval, C. (2002). Investigación cualitativa. Bogotá: ARFO Editores e Impresores Ltda.

Sequera, M. (2014). Investigación acción: un método de investigacion educativa para la sociedad actual. ARJÉ. Revista de Postgrado FaCE-UC, pp. 223-229.

Urbay, S. (2021). Modelo de formalización y métodos para segregar residuos en centros de acopio informales en Ate-2020 [Tesis de Maestría, Universidad Ricardo Palma]. Repositorio Institucional. Obtenido de https://hdl.handle. net/20.500.14138/4285

Zamora G, S., & Meza C, V. (2017). Percepción de la formalidad de la cadena de reciclaje de vidrio en Lima Zona Norte. Anales Científicos, p. 216.

 


Revista Kawsaypacha: Sociedad y Medio Ambiente.
N° 10 julio – diciembre 2022.  E-ISSN: 2709 - 3689

Cómo citar:Urbay Paz, S. (2022). Diagnóstico para elaborar un modelo que permita formalizar los centros de acopio informales de residuos segregados en el distrito de Ate (Lima, Perú)  Revista Kawsaypacha: Sociedad Y Medio Ambiente, (10), A-008. https://doi.org/10.18800/kawsaypacha.202202.008


[1] Artículo basado en la tesis de maestría del autor, Modelo de formalización y métodos para segregar residuos en centros de acopio informales en ATE -2020 (Urbay, 2021).

[2] Para información más detallada, consultar la tesis de Urbay (2021).

[3] El Sub Gerente del Área de Residuos de la Municipalidad de Ate determinó que solo un especialista del área realizara la entrevista, debido a la pandemia por el COVID-19.