N° 15 enero – junio 2025.  E-ISSN: 2709 – 3689

 Artículo de investigación

Dossier: Política y Gestión Ambiental


Índice de Sostenibilidad del Agua (ISA) en cuencas del Perú
[1]
Sustainability Water Index (ISA) for Peruvian River Basins

Icono

Descripción generada automáticamente Mario Aguirre-Núñez a
Icono

Descripción generada automáticamente
Abel Mejía-Marcacuzco b

a Universidad San Ignacio de Loyola, Perú

b Universidad Nacional Agraria La Molina, Perú

 

Cómo citar: Aguirre-Núñez, M., & Mejía-Marcacuzco, J. (2025). Índice de Sostenibilidad del Agua (ISA) en cuencas del Perú. Revista Kawsaypacha: Sociedad Y Medio Ambiente, (15), D-004. https://doi.org/10.18800/kawsaypacha.202501.D004

 

 

 

Resumen: El artículo presenta una propuesta metodológica para la evaluación de la sostenibilidad del agua en cuencas hidrográficas mediante el Índice de Sostenibilidad del Agua (ISA) y su aplicación en las cuencas hidrográficas de los ríos Chili, Caplina, Chancay-Lambayeque, Urubamba, y en el ámbito nacional del Perú, en el periodo 2012-2021. El ISA está conformado por tres subíndices basados en los componentes del desarrollo sostenible: económico (SiE), social (SiS) y ambiental (SiA). La escala de valoración del ISA va de 0 (más bajo) a 100 (más alto). Se han seleccionado indicadores intrínsecos y extrínsecos, económicos, sociales y ambientales. Los resultados demuestran, en el ámbito de las cuencas analizadas, así como en el ámbito nacional, un mejor desempeño en el componente social; asimismo, existen importantes retos en el componente ambiental (cuencas de los ríos Caplina y Chili) e importantes retos en el componente económico (cuencas de los ríos Chancay-Lambayeque, Chili, Urubamba, y ámbito nacional). Por otro lado, el riesgo de insostenibilidad del agua está relacionado tanto a los aspectos físicos (escasez de agua en la cuenca Caplina) como a los aspectos de gestión (en la cuenca Chancay-Lambayeque).

Palabras clave: Sostenibilidad del agua. Seguridad del agua. Desarrollo sostenible. Objetivos de desarrollo sostenible. Perú.

Abstract: The article presents a methodological proposal for assessing water sustainability in river basins using the Water Sustainability Index (WSI) and its application in the river basins of Chili, Caplina, Chancay-Lambayeque, and Urubamba, as well as at the national level in Peru, for the period 2012-2021. The WSI consists of three sub-indices based on the components of sustainable development: economic (SiE), social (SiS), and environmental (SiA). The WSI rating scale ranges from 0 (lowest) to 100 (highest). Intrinsic and extrinsic indicators, both economic, social, and environmental, were selected. The results show that, both at the basin level and nationally, the social component performs best. However, significant challenges remain in the environmental component (Caplina and Chili river basins) and the economic component (Chancay-Lambayeque, Chili, Urubamba river basins, and national level). Additionally, the risk of water unsustainability is linked to both physical factors (water scarcity in the Caplina basin) and management issues (in the Chancay-Lambayeque basin).

Keywords: Water Sustainability. Water Security. Sustainable Development. Sustainable Development Goals. Peru

1.        Introducción

El agua es fundamental para todas las actividades humanas, el mantenimiento de los ecosistemas (Bertule et al., 2018) y para alcanzar el desarrollo sostenible, cuyo fin es el desarrollo equilibrado e integrado de las componentes económico, social y ambiental (ONU, 2015). En la Agenda 2030 para el Desarrollo Sostenible (2015), se establecieron 17 Objetivos de Desarrollo Sostenible (ODS). El ODS 6, que busca «Garantizar la disponibilidad y la gestión sostenible del agua y el saneamiento para todos», articula los aspectos de la sostenibilidad del agua necesarios para las políticas nacionales y globales, e incide en otros ODS debido a las interdependencias existentes (UN-Water, 2016; Cai et al., 2021; Taka et al., 2021; Bertule et al., 2018).

La evaluación de la sostenibilidad ha sido interés de la comunidad científica desde el establecimiento del concepto de «desarrollo sostenible», existiendo un interés paralelo para evaluar la sostenibilidad del agua (Juwana et al., 2012; Vollmer et al., 2016; Di Vaio et al., 2021).

La evaluación de la sostenibilidad del agua se ha realizado utilizando el enfoque basado en indicadores (Juwana et al., 2012; Vollmer et al., 2016). Bertule et al. (2018) revisaron el enfoque para monitorear el indicador 6.5.1.: «grado de implementación de la gestión integrada de los recursos hídricos (GIRH)», analizándolo comparativamente con otros indicadores, como los principios de la gobernanza del agua de la Organización para la Cooperación y Desarrollo Económicos (OCDE). Cai et al. (2021) analizaron en 232 países y territorios, a escala nacional, cómo la seguridad o sostenibilidad del agua, de conformidad a las metas del ODS6, se ha convertido en una estrategia para enfrentar el riesgo hídrico; asimismo, propusieron el Índice SDG 6 (SDG6I), lo cual ha permitido determinar la línea base de los indicadores del ODS 6 por medio de resultados numéricos que varían de 0 (puntaje más bajo) a 100 (puntaje más alto).

Breuer y Spring (2020) desarrollaron una investigación sobre la implementación de la Agenda 2030, en la cuenca del río Cuautla en Morelos, México. Tinoco et al., (2021), basados en Bertule et al. (2018), desarrollaron un análisis comparativo de la gobernanza del agua en México, Chile y Brasil en base al indicador ODS 6.5.1. Bezerra et al. (2022) publicaron los resultados de la operacionalización de la gestión integrada de los recursos hídricos en cuencas de Brasil, Colombia y Perú; asimismo, la OCDE ha publicado respecto a la gobernanza del agua en el Perú (OCDE, 2021).

En el Perú, con la aprobación de la Ley 29338, Ley de Recursos Hídricos, en 2009, así como con la creación de la Autoridad Nacional del Agua (ANA) en 2008, se inició una nueva etapa de la gestión del agua, orientada por el «grado de implementación de la gestión integrada de los recursos hídricos» o GIRH (ANA, 2019a). A su vez, la evaluación del GIRH se realizó mediante el indicador ODS 6.5.1, (ANA, 2017, 2019b, 2023) y desarrollando una prueba piloto para la aplicación de los indicadores de los Principios de la Gobernanza del Agua de la OCDE (ANA, 2019a).

El objetivo de este trabajo es presentar la propuesta del Índice de Sostenibilidad del Agua (ISA), que es una metodología para determinar cuantitativamente la situación de la sostenibilidad del agua en una cuenca o en un país, a una escala temporal anual y comparativa, basándose en los componentes del desarrollo sostenible: el desarrollo económico, la equidad social y la sostenibilidad ambiental. La propuesta recoge, de Cai et al. (2021), la escala para la cuantificación y el uso de indicadores del ODS 6. Además, se distingue de los índices propuestos por Juwana et al. (2012), Vollmer et al. (2016) y Cai et al. (2021), al proponer cuantificar el aporte de los componentes del desarrollo sostenible (económico, social, ambiental) de manera equilibrada, así como al incorporar indicadores intrínsecos (propios del agua) y extrínsecos (externos pero que influyen en la situación del agua). Para demostrar la aplicabilidad del índice se ha desarrollado la aplicación en cuatro cuencas hidrográficas del Perú (Chili, Caplina, Chancay-Lambayeque y Urubamba) y en el ámbito nacional; cabe señalar que se enfrentaron algunas limitaciones en la investigación[2].

2.        Metodología

Para establecer un índice que permita evaluar cuantitativamente la sostenibilidad del agua, la metodología para la determinación del ISA se basa en tres subíndices, cada uno representa un componente del desarrollo sostenible (económico, social y ambiental), con una incidencia equitativa (1/3 para cada uno). Los subíndices, a su vez, están compuestos por indicadores intrínsecos o propios del agua; e indicadores extrínsecos, que son factores externos pero que influyen en la situación del agua. La ponderación considerada es de 2/3 para los indicadores intrínsecos y 1/3 para los indicadores extrínsecos. El número de indicadores intrínsecos o extrínsecos de cada uno de los subíndices está determinado en función de la afinidad con el componente (económico, social o ambiental), así como de la disponibilidad de la información del indicador en fuentes oficiales (Aguirre-Núñez, 2023). El número de indicadores (que es distinto por cada subíndice) está moderado por el peso similar que se asigna a cada subíndice (1/3). En la Figura 1 se presenta el esquema del ISA.

 

 

2.1        Criterios para la definición del ISA, de los subíndices y de los indicadores

Se considera que el ISA debe evaluar la sostenibilidad del agua (no la gestión, que es evaluada por el ODS 6.5.1.), siendo el ISA en sí mismo un indicador de resultado mas no de proceso (Cai et al., 2021), y que los procesos para la ponderación de los indicadores deben ser simples y robustos (Munda & Nardo, 2005). De forma similar a la escala utilizada en otros índices (Cai et al., 2021), se ha adoptado un rango de valoración del ISA que va de 0 a 100 para la sostenibilidad del agua. El resultado del ISA se determina a partir de la sumatoria de los subíndices económico, social y ambiental, cada uno de los cuales tiene una incidencia similar (1/3). El rango de los subíndices es de 0 a 33.33. Cada uno de los subíndices, a su vez, se determina a partir de los resultados de los indicadores intrínsecos y extrínsecos. Para la elección de los indicadores se ha considerado que la información esté disponible en fuentes oficiales. El ISA permitirá desarrollar el análisis comparativo espacial y temporal de la sostenibilidad del agua.

2.2        Estructura, fórmula y rango de valores del ISA

La estructura del ISA se muestra en la Figura 1 y la fórmula para el cálculo se presenta en la fórmula (1):

Donde:

ISA = índice de sostenibilidad del agua

SiE = subíndice de desarrollo económico

SiS = subíndice de equidad social

SiA = subíndice de sostenibilidad ambiental

En tal sentido, el ISA es un índice compuesto, ya que requiere para su determinación o evaluación de una serie de variables (subíndices o indicadores) (Munda & Nardo, 2005).

Para determinar un índice compuesto, tal como es el ISA, se requiere que los componentes constituyentes (subíndices) estén agregados con sus respectivos pesos ponderados (Cai et al., 2021; Sachs et al., 2018), con la finalidad de que los formuladores e implementadores de políticas y quienes toman decisiones consideren cada uno de los componentes del desarrollo sostenible (económico, social y ambiental) con la misma importancia y de una manera integrada o indivisible. Se asignan pesos ponderados similares para cada uno de los subíndices, el económico (SiE), el social (SiS) y el ambiental (SiA); es decir, el peso ponderado de cada uno de los subíndices es 1/3, considerando que cada uno de los subíndices tiene la misma importancia (Sachs et al., 2018). La expresión para determinar el ISA se describe en la fórmula 2:

El ISA varía en una escala que va de 0 a 100 y los subíndices SiE, SiS y SiA varían de 0 a 100 en una escala relativa y de 0 a 33.33 en una escala absoluta, cuando se multiplican por sus respectivos pesos ponderados.

 

Los subíndices SiE, SiS y SiA están compuestos por indicadores intrínsecos (Iint), esenciales o internos del agua, e indicadores extrínsecos (Iext) o externos, que influyen en el desempeño del componente representado por el subíndice. Los indicadores intrínsecos seleccionados corresponden a los indicadores del ODS 6, los cuales han sido clasificados en función del componente con el que mayor relación mantienen (económico, social o ambiental). En el caso de los indicadores extrínsecos, se han seleccionado indicadores que representan el componente de subíndice respectivo (económico, social o ambiental) y que inciden en la situación del agua en las cuencas. El número (n) de indicadores, sean estos intrínsecos o extrínsecos, no necesariamente debe ser un número fijo, ya que ese número está determinado en función del número de indicadores del ODS 6 relevantes a cada componente (económico, social o ambiental). Esta característica le otorga una alta flexibilidad a la metodología. La ponderación adoptada en términos relativos para el conjunto de indicadores intrínsecos es 2/3 o 0.667, y para el conjunto de indicadores extrínsecos es 1/3 o 0.333, los cuales, expresados en términos porcentuales y de escala de valoración de la metodología, corresponderían a 22.22% para los indicadores intrínsecos y a 11.11% para los indicadores extrínsecos.

La estructura propuesta del ISA le da una flexibilidad que permitiría la incorporación de más indicadores (por ejemplo, que pueden ser muy específicos a una cuenca) sin que la ponderación de los componentes económico, social y ambiental se altere.

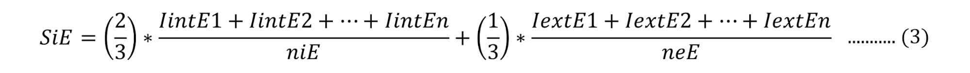
2.3        Estructura y fórmula del subíndice de desarrollo económico (SiE)

El SiE está conformado por indicadores intrínsecos (IintE) y extrínsecos (IextE), cuya estructura se presenta en la Figura 1 y según se describe en la fórmula 3:

Donde

 = número de indicadores económicos intrínsecos

 = número de indicadores económicos extrínsecos

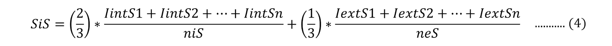
2.4        Estructura y fórmula del subíndice de equidad social (SiS)

El SiS está conformado por indicadores intrínsecos (IintS) e indicadores extrínsecos (IextS) cuya estructura se presenta en la Figura 1 y según se describe en la fórmula (4):

Donde

 = número de indicadores sociales intrínsecos

 = número de indicadores sociales extrínsecos

2.5        Estructura y fórmula del subíndice de sostenibilidad ambiental (SiA)

El SiA está conformado por indicadores intrínsecos (IintA) y extrínsecos (IextA) según la estructura mostrada en la Figura 1 y de acuerdo a la fórmula (5):

Donde:

 = número de indicadores ambientales intrínsecos

 = número de indicadores ambientales extrínsecos

2.6        Indicadores de los subíndices económico (SiE), social (SiS) y ambiental (SiA)

En las tablas 1, 2 y 3 se presentan los indicadores de los SiE, SiS y SiA, con su respectiva clasificación (intrínsecos y extrínsecos) y fuentes de información. El cálculo de los subíndices se realiza mediante la fórmula (1), la fórmula (2) y la fórmula (3), respectivamente.

 

2.7        Ámbito de aplicación del ISA

Los ámbitos de aplicación del ISA han sido las cuencas de los ríos Chili, Caplina, Chancay-Lambayeque y Urubamba, así como en el ámbito nacional o del país. Las cuencas han sido seleccionadas para representar a las diferentes vertientes hidrográficas del país (Pacífico y Amazonas), la ubicación en el territorio (norte y sur), así como la disponibilidad de información a escala de cuenca. No se ha considerado la vertiente del Titicaca ni el ámbito de la selva baja, ya que ambas presentan una complejidad mayor para la compatibilidad entre indicadores a escala de cuenca e indicadores a escala departamental. Los ámbitos de las cuencas están representados en la Figura 2.

 


2.8        Estandarización de la escala de los indicadores

Con la finalidad de estandarizar la información en una sola escala, se ha procedido con la normalización de los resultados en la escala, con valores de 0 a 100. El procedimiento de estandarización de escala o puntaje de los indicadores se describe en las siguientes secciones: 2.9, 2.10 y 2.11.  

2.9        Información de los indicadores del SiE

El indicador intrínseco 1 corresponde a la productividad del agua, el cual se ha determinado relacionando la disponibilidad de agua en cada cuenca con el PBI departamental, para lo cual se ha realizado la estandarización considerando el valor umbral en 40.00 USD/m3, valor sobre el cual se considera que la productividad del agua es la óptima (Cai et al., 2021). Es decir, en el caso de las cuencas cuya productividad del agua sea igual o mayor a 40.00 USD/m3, el resultado del indicador es 100; y luego, proporcionalmente, se estiman los resultados (0 a 100 según la productividad económica del agua en la cuenca). Los resultados se presentan en la Tabla 4.

 

 

El indicador extrínseco económico 1 (IextE1) es el PBI per cápita. En la Tabla 5 se muestra el PBI per cápita nacional y departamental. Considerando que las ciudades (más que las cuencas) son las que predominantemente inciden en el indicador de desarrollo humano (PNUD, 2009), se ha considerado como equivalentes el PBI departamental y el de las cuencas respectivas. En la Tabla 5 se presenta la información del PBI per cápita, en nuevos soles peruanos (S/).

 

Se ha realizado la normalización de los valores considerando el valor del PBI per cápita departamental más bajo y el más alto de todos los departamentos del Perú. En la Tabla 6 se presenta el PBI per cápita normalizado, nacional y departamental (adaptado a la cuenca) del periodo 2012-2021, que es el indicador extrínseco económico 1.

 

 

2.10        Información de indicadores del SiS

 

El indicador «proporción de la población que dispone de agua por red pública» (indicador ODS 6.1.1), constituye el indicador social intrínseco 1 (IintS1). La información para el ámbito departamental o de cuencas proviene de la SUNASS (2016, 2017, 2018, 2019, 2020, 2021), y para el ámbito nacional del INEI (2022). En la Tabla 7 se presenta la correspondencia entre el ámbito de las empresas públicas de servicios de saneamiento (EPS) y las cuencas en estudio.

 

 

Se ha considerado, para el caso de las cuencas de los ríos Chili, Caplina y Chancay-Lambayeque, los indicadores de las EPS que prestan el servicio en las capitales departamentales, es decir SEDAPAR en Arequipa, EPS en Tacna y EPSEL en Chiclayo; en el caso de la cuenca Urubamba se ha determinado el indicador mediante un promedio ponderado (en función de la población atendida) entre la EPS SEDACUSCO y las otras tres EPS (EPS EMPSAPPAL de Sicuani, EPS EMAQ de Quillabamba y EMSAPA de Calca). En la Tabla 8 se presentan los valores de la proporción de la población que dispone de agua por la red pública que corresponde al indicador intrínseco social 1.

 

El indicador intrínseco social 2 (IintS2) corresponde a la proporción de la población que utiliza servicios de saneamiento gestionados de manera segura, incluida una instalación para lavarse las manos con agua y jabón (indicador ODS 6.2.1.). Se debe indicar que la información para el ámbito de las cuencas proviene de las mismas fuentes del indicador intrínseco social 1 (IintS1).

 

Para las cuencas de los ríos Chili, Caplina y Chancay-Lambayeque se han considerado los indicadores de las EPS que prestan el servicio en las capitales departamentales (SEDAPAR en Arequipa, EPS Tacna en Tacna y EPSEL en Chiclayo); en el caso de la cuenca Urubamba, se ha determinado el indicador mediante un promedio ponderado entre la EPS SEDACUSCO y las otras empresas al interior de la cuenca (EPS EMPSAPPAL en Sicuani, EPS EMAQ en Quillabamba y EMSAPA en Calca). La información de los valores del indicador se presenta en la Tabla 9.

 

 

El indicador extrínseco social 1 (IextS1) es el índice de desigualdad, basado en el índice de Gini (Castillo, 2020), a nivel nacional y departamental del Perú. El índice de desigualdad aquí propuesto corresponde al índice de Gini adaptado según la fórmula (4), donde el rango de valores de desigualdad va de 0, valor más desfavorable de igualdad social, a 100, valor más alto de igualdad social.

El Índice de Gini ha sido obtenido de INEI (2016), para el periodo 2012 - 2015, de Castillo (2020) para el periodo 2016 -2019 y del Banco Mundial (2023) para el periodo 2020 - 2021, según se presenta en la Tabla 2.

En la Tabla 10 se presentan los resultados estandarizados del indicador IextS1 «desigualdad social» en el ámbito nacional y en el ámbito departamental o de cuenca hidrográfica para el periodo 2012-2021.

2.11        Información de los indicadores del SiA

El indicador intrínseco ambiental 1 (IintA1) constituye la proporción de aguas residuales tratadas de manera segura (indicador ODS 6.3.1.). Los valores de proporción de aguas residuales tratadas de manera segura corresponden a lo reportado por las EPS ubicadas al interior de las cuencas. La información proviene de las mismas fuentes del indicador intrínseco social 1 (IintS1); para el ámbito nacional, la información proviene de INEI (2023).

 

 

El indicador intrínseco ambiental 2 (IintA2) corresponde a la proporción de masas de agua de buena calidad (indicador ODS 6.3.2.), y se ha utilizado la información del documento técnico «Estado situacional y reporte del indicador 6.3.2. Porcentaje de cuerpos de agua de buena calidad ambiental del objetivo de desarrollo sostenible 6» (ANA, 2020). En la Tabla 12 se presenta la información correspondiente al IintA2.

 

Tabla

El contenido generado por IA puede ser incorrecto.

 

El indicador intrínseco ambiental 3 (IintA3) corresponde al nivel de estrés por escasez de agua (indicador ODS 6.4.2.). La información para las cuencas se ha obtenido del portal web del Sistema Nacional de Información de Recursos Hídricos (SNIRH) de la ANA y de los Planes de Aprovechamiento de la Disponibilidad Hídrica (PADH) que se elaboran en las cuencas; para el ámbito nacional la información ha sido obtenida del INEI.

 

Respecto a la proporción del caudal que debe quedar en el río, se han considerado los valores o proporciones estimados en el «Estudio Síntesis del Informe Final del Proyecto Monitoreo Integrado de las metas del ODS 6 relacionadas con Agua y Saneamiento (GEMI)» (ANA, 2017). En la Tabla 13 se presentan los valores del nivel de estrés del agua.

 

Tabla

El contenido generado por IA puede ser incorrecto.

El indicador extrínseco ambiental 1 (IextA1) constituye el indicador de escasez del agua —índice de Falkenmark adaptado (Falkenmark et al., 1989)—. Para la aplicación ha sido necesario realizar una transformación o adaptación, a partir de la escala propuesta por Falkenmark, a una escala en la que 100 es la situación más favorable (sin estrés, disponibilidad > 1700 m3-hab/año), con una graduación que va de 0 a 100 para el rango proporcional de valores de 0 a 1700 m3-hab/año. En la Tabla 14 se presentan los valores del indicador de estrés hídrico.

 

Tabla

El contenido generado por IA puede ser incorrecto.

 

3.        Resultados y discusión

 

3.1        Resultados del SiE

 

En la Figura 3 se presentan los resultados del SiE para el ámbito nacional y para las cuencas en el periodo 2012-2021.

 

 

3.2        Resultados del SiS

 

En la Figura 4 se presentan los resultados del SiS del ámbito nacional y de las cuencas para el periodo 2012 - 2021.

 

 

3.3        Resultado del SiA

 

En la Figura 5 se presentan los resultados del SiA para el ámbito nacional y de cuencas en el periodo 2015-2021.

 

 

3.4        Resultados del ISA, ámbito nacional y de cuencas

Con la información de los resultados de los subíndices social, económico y ambiental se ha determinado el Índice de Sostenibilidad Ambiental del Agua (ISA) para el ámbito nacional y para el ámbito de las cuencas en el periodo 2012 al 2021. En la Figura 6 se presentan los resultados del ISA de dicho periodo.

 

3.5        Discusión de resultados del ISA en la cuenca del río Chili

Como se puede ver en la Tabla 15, los resultados desagregados del ISA, con sus respectivos subíndices, en la cuenca del río Chili muestran que el componente social (SiS) es el que mejor desempeño demuestra (25.2 a 26.58), mientras que el indicador de desigualdad social tuvo una evolución favorable importante de 59.50 en 2012 a 67.33 en 2021, aunque subsiste el reto de reducir la desigualdad.

El componente ambiental presenta valores comparativos inferiores y con mayores diferencias. El SiA pasó de 9.76 en 2016 a 15.06 en 2017, debido a la implementación de la Planta de Tratamiento de Aguas Residuales La Enlozada (el indicador de proporción de aguas residuales tratadas de manera segura pasó de 15.83 en 2016 a 94.11 en 2017). El componente económico presenta también valores comparativos inferiores, pero menores diferencias (10.40 para 2020 y 13.96 para 2016).

Los resultados del ISA para la cuenca del río Chili muestran el desempeño más bajo en 2015 (48.21) y el más alto en 2017 (54.85). Los valores interanuales del ISA han permanecido más o menos similares, 50.06 en 2012 y 51.14 en 2021. En la cuenca del río Chili se requiere, por tanto, reducir la presión (uso intensivo y deterioro de la calidad) que se ejerce sobre el agua, mejorar en la eficiencia económica en el uso del agua, así como reducir la desigualdad social entre las zonas urbanas y las zonas rurales.

Tabla

El contenido generado por IA puede ser incorrecto.

3.6        Discusión de resultados del Índice ISA cuenca río Caplina

Tal y como se muestra en la Tabla 16, los resultados desagregados del ISA, con sus respectivos subíndices, en la cuenca Caplina indican que el componente social (SiS) es el que mejor desempeño presenta (27.56 a 27.96). Sin embargo, se requiere continuar reduciendo la desigualdad social, que ha evolucionado favorablemente de 60.60 en 2012 a 62.25 en 2021. El componente económico presenta, asimismo, un buen desempeño (25.35 a 26.83), mientras que el componente ambiental presenta valores bajos (SiE de 5.43 a 6.39) debido, fundamentalmente, a la escasez física del agua y a la presión que se ejerce por su uso. Entonces, en la cuenca Caplina se debe poner mayor atención al componente ambiental para evitar un deterioro que eventualmente conduzca al colapso. Los resultados del ISA en la cuenca Caplina presentan una pequeña variabilidad en todo el periodo analizado (59.70 en 2012 y 59.94 en 2021).

Tabla

El contenido generado por IA puede ser incorrecto.

3.7        Discusión de resultados del ISA cuenca río Chancay-Lambayeque

Los resultados del ISA, con sus respectivos subíndices, en la cuenca Chancay-Lambayeque demuestran que el componente económico presenta el desempeño más bajo (SiE de 8.25 a 23.06), atribuyéndose ello a que el uso del agua en la cuenca es mayoritariamente para la agricultura de baja rentabilidad. El componente social presenta el desempeño comparativo más alto (SiS 25.43 a 26.23), sin embargo, se requiere seguir reduciendo la desigualdad social, que evolucionó favorablemente de 60.70 en 2012 a 64.13 en 2021. El componente ambiental presenta un desempeño intermedio (SiA de 15.68 a 20.35), requiriéndose mejorar la proporción de masas de agua de buena calidad ambiental (que es 0 en el periodo analizado). En tal sentido, en la cuenca Chancay-Lambayeque se requiere mejorar el componente económico mediante, por ejemplo, la mejora de la eficiencia económica del agua, así como se requiere mejorar el desempeño del componente ambiental respecto a la calidad del agua.

Tabla

El contenido generado por IA puede ser incorrecto.

3.8        Discusión de resultados del ISA en la cuenca río Urubamba

Los resultados del ISA, con sus respectivos subíndices, en la cuenca Urubamba indican que el componente económico es el que presenta el desempeño más bajo y diferente (SiE de 12.19 a 24.54), ello debido al cambio en los valores del indicador «cambio en la eficiencia del uso del agua» de 100 en 2012 a 44.60 en 2021, lo cual se debe al sinceramiento en el uso de los volúmenes de agua, considerándose los resultados de 2021 más cercanos a la realidad. El indicador «PBI per cápita» ha tenido ligeras variaciones en ese periodo, de 20.88 en 2012 a 20.47 en 2021. El componente social presenta el desempeño comparativo más alto (SiS de 26.91 a 27.75), sin embargo, el indicador de desigualdad social ha tenido una evolución favorable, de 57.60 en 2012 a 58.59 en 2021, y requiere seguir mejorando. El componente ambiental presenta resultados altos y menos diferentes (SiA de 25.75 a 26.75), debido a un comparativo mejor desempeño en el indicador «proporción de masas de agua de buena calidad ambiental», que es 31.60 en todo el periodo, así como al bajo nivel de estrés por escasez de agua.

Tabla

El contenido generado por IA puede ser incorrecto.

3.9        Discusión de resultados del ISA en el ámbito nacional

Los resultados del ISA, con sus respectivos subíndices, en el ámbito nacional muestran que el componente ambiental (SiA) presenta el mejor desempeño en el periodo analizado (excepto en 2012), seguido del componente social (SiS). El componente económico (SiE) presenta un desempeño más limitado (7.58 a 9.98). El ISA, para 2012, ha sido 56.40, para 2015 (línea base de los ODS) ha sido de 55.65, mientras que para 2021 (referencia más actual) ha sido de 58.67, describiendo los resultados variaciones graduales interanuales, según se puede apreciar en la Tabla 19. El valor del ISA más bajo corresponde a 55.65 (2015) y el más alto a 61.15 (2019).

La reducción más importante del ISA es de 2019, con 61.15, al 2020, con 58.27, atribuyéndose fundamentalmente a los efectos de la pandemia por el COVID-19, cuando el componente económico pasó de 9.98 en 2019 a 7.89 en 2021, y el social pasó de 25.16 en 2019 a 24.80 en 2021. Mientras que el componente ambiental (SiA) prácticamente no presentó variación, ya que pasó de 25.97 en 2019 a 25.98 en 2021.

El rango de valores del ISA nacional varía de 56.40 en 2012 a 58.67 en 2021, lo que describe una ligera mejora. Sin embargo, los resultados en el ámbito nacional pueden diferir de manera importante de los resultados en la escala de cuenca, tales como los de las cuencas analizadas en este trabajo. En el ámbito nacional, el subíndice ambiental es el que mejor desempeño describe (SiA de 25.98 en 2021), aspecto que está fuertemente influenciado por la importante disponibilidad hídrica en la vertiente amazónica, así como por la relativa baja presión que se ejerce sobre el agua en las cuencas de esta vertiente. Sin embargo, los valores del SiA en las cuencas de los ríos Caplina, (5.53 en 2021) y Chili (13.59 en 2021) son significativamente más bajos. El subíndice social en el ámbito nacional (SiS de 24.80 en 2021) describe un valor ligeramente inferior al de las cuatro cuencas analizadas (SiS de 25.83 en el río Chili, de 27.72 en el río Caplina, de 25.43 en Chancay-Lambayeque y 27.20 en Urubamba), lo que implica un desempeño más o menos similar del componente social en el ámbito nacional respecto al de las cuencas analizadas.

El subíndice económico en el ámbito nacional es el que describe el desempeño más bajo (SiE de 7.89 para 2021), valor que está muy por debajo del obtenido para la cuenca del río Caplina (SiE de 26.69 para 2021), lo cual impone retos importantes para la mejora del desempeño del componente económico para alcanzar la sostenibilidad (mejora en la eficiencia del uso del agua) en el ámbito nacional.

Tabla

El contenido generado por IA puede ser incorrecto.

Los resultados en el ámbito nacional condensan los resultados de las cuencas y pueden presentar significativas diferencias con la situación de cada una de las cuencas, como en el caso de la cuenca Caplina, donde el componente económico presenta un desempeño más alto que el del ámbito nacional, mientras que el componente ambiental tuvo un resultado mucho más bajo, aspecto que es posible determinar analizando de forma desagregada los subíndices (SiE, SiS y SiA), ya que el ISA no describe esa diferencia (ISA nacional = 58,67 ; ISA Caplina = 59.94); el análisis se puede desarrollar  inclusive por indicadores tales como el acceso al agua y saneamiento entre las zonas urbanas y las zonas rurales en las cuencas y en el ámbito nacional.

3.        Conclusiones

En esta investigación se elaboró la propuesta del Índice de Sostenibilidad del Agua (ISA) y se desarrolló la aplicación del ISA en el ámbito nacional y en el ámbito de las cuencas de las cuencas de los ríos Chili, Caplina, Chancay-Lambayeque y Urubamba, lo cual ha permitido evaluar la sostenibilidad del agua mediante el ISA y mediante sus componentes económico, social y ambiental (mediante los subíndices SiE, SiS y SiA), tanto en el espacio (cuencas y país) como en el tiempo (2012 al 2021).

Además, el ISA demostró en la práctica la aplicabilidad del concepto de desarrollo sostenible enfocado en la sostenibilidad del agua, al evaluar cuantitativamente la intervención equilibrada de los tres componentes del desarrollo sostenible: el económico, social y ambiental, tomando en consideración indicadores intrínsecos y extrínsecos. Con la investigación se demuestra que la sostenibilidad del agua en las cuencas requiere de un adecuado desempeño de dichos componentes del desarrollo sostenible, y que el deficiente desempeño de uno de los componentes, por ejemplo, el ambiental en la cuenca Caplina o el económico en la cuenca Chancay-Lambayeque, pone en riesgo la sostenibilidad.

Los resultados demuestran, en el ámbito de las cuencas analizadas y en el ámbito nacional, un mejor desempeño en el componente social, sin embargo, existen importantes retos en el componente ambiental (cuencas de los ríos Caplina y Chili), e importantes retos en el componente económico (cuencas de los ríos Chancay-Lambayeque, Chili y Urubamba). Asimismo, se resalta que el riesgo de insostenibilidad del agua está relacionado tanto a los aspectos físicos (escasez de agua cuenca Caplina) como a los aspectos de gestión (cuenca Chancay-Lambayeque). Se demuestra, además, que el componente social evaluado por el SiS en las cuatro cuencas analizadas presenta un mejor desempeño que en el ámbito nacional, sin embargo, en todos los casos se presenta el reto de mejorar el indicador de desigualdad social.

Se considera que la estructura conceptual, las formulaciones matemáticas y la existencia de información oficial que alimenta a los indicadores hacen del Índice de Sostenibilidad Ambiental (ISA) propuesto en la presente investigación una herramienta posible de ser utilizada en el ámbito de país y en el ámbito de cuenca hidrográfica nacional e internacional.

Es recomendable complementar la presente investigación para establecer puntajes mínimos umbrales del ISA (ejemplo, 50, 40 o 30), así como puntajes mínimos umbrales de los subíndices SiE, SiS y SiA (ejemplo, 16, 14 o 12), debajo de los cuales se podría considerar la situación del agua en la cuenca como no sostenible.

Referencias

Aguirre-Núñez, M. (2023). Indicadores de Sostenibilidad del Agua en cuencas del Perú. Tesis doctoral. UNALM.

Atkinson, A. B. (1970). On the Measurement of Inequality. Journal of Economic Theory 2, pp. 244-263.

ANA (2023). Tercera Medición Nacional del Indicador ODS 6.5.1: Grado de Implementación de la Gestión Integrada de los Recursos Hídricos en el Perú 2023. Lima, Perú.

ANA (2020). Estado situacional y reporte del indicador 6.3.2. «Porcentaje de cuerpos de agua de buena calidad ambiental» del objetivo de desarrollo sostenible 6. Documento Técnico. Lima, Perú.

ANA (2019a). Reporte prueba piloto de Indicadores de los Principios de Gobernanza del Agua de la OCDE, Escala Nacional (Perú) y escala regional (Autoridad Administrativa del Agua). Lima, Perú.

ANA (2019b). Segunda encuesta nacional sobre grado de implementación de la GIRH en el Perú – 2019. Lima, Perú.

ANA (2017). Síntesis del Informe Final del Proyecto Monitoreo Integrado de las metas del ODS 6 relacionadas con Agua y Saneamiento (GEMI). Lima, Perú.

Banco Mundial (2023). Datos Índice de Gini Perú. https://datos.bancomundial.org/indicator/SI.POV.GINI?locations=PE [consultado en enero de 2023].

BCRP (2020). BCRPData. https://estadisticas.bcrp.gob.pe/estadisticas/series/anuales/resultados/PM05000AA/html [con
sultado en febrero de 2023].

Bertule, M.; Glennie, P.; Bjørnse, P. K.; Lloyd, G. L.; Kjellen, M.; Dalton, J.; Rieu-Clarke, A.; Romano, O.; Tropp, H.; Newton, J. & Harlin, J. (2018). Monitoring Water Resources Governance Progress Globally: Experiences from Monitoring SDG Indicator 6.5.1 on Integrated Water Resources Management Implementation. Water, 10(12), 1744. doi:10.3390/w10121744.

Bezerra, M.; Vollmer, D.; Acero, N.; Marques, M.; Restrepo, D.; Mendoza, E.; Coutinho, B.; Encomenderos, I.; Zuluaga, L.; Rodríguez, O.; Shaad, K.; Hauck, S.; González, R.; Hernandéz, F.; Montelongo, R.; Torres, E. & Serrano, L. (2022). Operationalizing Integrated Water Resource Management in Latin America: Insights from Application of the Freshwater Health Index. Environmental Management, 69, pp. 815-834. https://doi.org/10.1007/s00267-021-01446-1

Breuer, A. & Spring, U. O. (2020) The 2030 agenda as agenda setting event for water governance? Evidence from the Cuautla river basin in Morelos and Mexico. Water, 12(2), p. 314. doi:10.3390/w12020314.

Cai, J.; Zhao, D. & Varis, O. (2021). Match words with deeds: Curbing water risk with the Sustainable Development Goal 6 index. Journal of Cleaner Production, 318, 128509. https://doi.org/10.1016/j.jclepro.2021.128509

Castillo, L. E. (2020). Dinámica Regional de la Desigualdad de Ingresos en Perú. Banco Central de Reserva
del Perú.

CODS (2020). Índice ODS 2019 para América Latina y el Caribe. Centro de los Objetivos de Desarrollo Sostenible para América Latina y el Caribe: Bogotá, Colombia. https://cods.uniandes.edu.co/indice-ods/

Di Vaio, A.; Trujillo, L.; D’Amore, G. & Palladino, R. (2021). Water governance models for meeting sustainable development Goals: A structured literature review. Utilities Policy, 72, 101255. https://doi.org/10.1016/j.jup.2021.101255

Falkenmark, M.; Lundqvist J. & Widstrand, C. (1989). Macro-scale water scarcity requires micro-scale approaches Aspects of vulnerability in semi-arid development. Natural Resources Forum, 13(14), pp. 258- 267. https://pubmed.ncbi.nlm.nih.gov/12317608/

INEI (2023). Perú: sistema de monitoreo y seguimiento de los indicadores de los Objetivos de Desarrollo Sostenible. https://ods.inei.gob.pe/ods/objetivos-de-desarrollo-sostenible/agua-limpia-y-saneamiento [consultado en febrero del 2023].

INEI (2022). Perú: Producto Interno Bruto por Departamentos 2007 -2021. Lima, Perú.

INEI (2016). Evolución de la Pobreza Monetaria 2009 – 2015. Informe Técnico. Lima, Perú.

Juwana, I.; Muttil, N. & Perera, B. (2012). Indicator-based water sustainability assessment - A review. Science of the Total Environment, 438, pp. 357-371. http://dx.doi.org/10.1016/j.scitotenv.2012.08.093

Munda, G. & Nardo, M. (2005). Constructing Consistent Composite Indicators: The Issue of Weights. European Commission.

ONU (2015). Transformar nuestro mundo: la Agenda 2030 para el Desarrollo Sostenible. Resolución aprobada por la Asamblea General el 25 de septiembre de 2015. AA/RES/70/1. Nueva York.

OCDE (2021). Gobernanza del Agua en el Perú. OCDE.

PNUD (2009). Informe sobre Desarrollo Humano Perú 2009. PNUD: Lima, Perú.

Sachs, J.; Schmidt-Traub, G.; Kroll, C.; Durand-Delacre, D. & Teksoz, K., (2018). SDG Index & Dashboards 2018. New York, USA: Global responsibilities implementing de Goal. Bertelsmann Stiftung and Sustainable Development Solutions Network (SDSN).

SUNASS (2016). Benchmarking regulatorio de las EPS 2015. Datos 2015. Lima, Perú.

SUNASS (2017). Benchmarking regulatorio de las EPS 2016. Datos 2016. Lima, Perú.

SUNASS (2018). Benchmarking regulatorio de las Empresas Prestadoras EPS 2018. Datos 2017. Lima, Perú.

SUNASS (2019). Benchmarking regulatorio de las Empresas Prestadoras EP 2019. Datos 2018. Lima, Perú.

SUNASS (2020). Benchmarking regulatorio 2020 de las Empresas Prestadoras (EP). Datos 2019. Lima, Perú.

SUNASS (2021). Benchmarking regulatorio 2021 de las Empresas Prestadoras (EP). Datos 2020. Lima, Perú.

Taka, M.; Ahopelto, L.; Fallon, A.; Heino, M.; Kallio, M., Kinnunen, P., Niva, V. and Varis, O., (2021). The potential of water security in leveraging Agenda 2030. One Earth 4, pp. 258-268. https://doi.org/10.1016/j.oneear.2021.01.007

Tinoco, C.; Julio N.; Meirelles, B.; Pineda, R.; Figueroa, R.; Urrutia, R. & Parra, O. (2022). Water Resources Management in Mexico, Chile and Brazil. Comparative Analysis of Their Progress on SDG 6.5.1 and the Role of Governance. Sustainability, 14(10), 5814. https://doi.org/10.3390/su14105814

UN-Water (2016). Seguimiento en Materia de Agua y Saneamiento en la Agenda 2030 para el Desarrollo Sostenible Una introducción. Switzerland.

Vollmer, D.; Regan, H. M. & Andelman, S. J. (2016). Assessing the sustainability of freshwater systems: A critical review of composite indicators. Ambio, 45, pp. 765-780. doi:10.1007/s13280-016-0792-7

Declaración de posibles conflictos de intereses
Los autores declaran que no tienen conflicto de intereses.

Rol en la investigación según la clasificación (CRediT):

  • Mario Aguirre Núñez

Autor principal.

  • Abel Mejía Marcacuzco
    Asesor.


Mario Aguirre Núñez

Ingeniero civil con más de 30 años de experiencia en Hidrología y gestión de recursos hídricos, cuenta con una Maestría en Ingeniería Hidráulica y es docente universitario de pregrado y posgrado.


Correo:
Mario.aguirre.nunez@gmail.com


Abel Mejía Marcacuzco

Doctor y Magister en Ingeniería Hidráulica, tiene más de 35 años de experiencia en Hidrología e Ingeniería Hidráulica como Ingeniero Agrícola. Es docente universitario de pregrado y posgrado.


Correo:
jabel@lamolina.edu.pe   

Revista Kawsaypacha: Sociedad y Medio Ambiente.
N° 15 enero – junio 2025.  E-ISSN: 2709 – 3689

 

Cómo citar: Aguirre-Núñez, M., & Mejía-Marcacuzco, J. (2025). Índice de Sostenibilidad del Agua (ISA) en cuencas del Perú. Revista Kawsaypacha: Sociedad Y Medio Ambiente, (15), D-004. https://doi.org/10.18800/kawsaypacha.202501.D004

 

 

[1] El artículo se basa en la tesis Indicadores de sostenibilidad del agua en cuencas del Perú, elaborado por el autor principal del artículo, asesorado por el segundo autor, para obtener el grado de Doctor en Recursos Hídricos en la Universidad Nacional Agraria La Molina, Perú.

[2] Las limitaciones en la investigación fueron: la discontinuidad en la evaluación del indicador Gini (indicador de desigualdad) a nivel departamental, por parte del INEI; y la evaluación del indicador ODS 6.3.2. (porcentaje de cuerpos de agua de buena calidad ambiental) en periodos mayores a los anuales, ya que se ha identificado que en el periodo 2015-2021 la evaluación se hizo solamente una vez, así como no se ha considerado alguna cuenca en la vertiente del Titicaca.